Lompat ke konten Lompat ke sidebar Lompat ke footer

Soal Dan Pembahasan Definsi Turunan : Turunan Pertama Dan Kemonotonan Fungsi Dan Pembahasan Soal Ayo Sekolahmatematika - Umumnya turunan dari fungsi f (x) dituliskan .

Turunan ialah sebuah perhitungan mengenai nilai fungsi yang . Rangkuman materi bab turunan kelas xi/11 disertai contoh soal dan jawaban dengan pembahasan lengkapnya ayo masuk kesini. Pengertian dari turunan atau diferensial sendiri adalah suatu fungsi yang berubah seiring perubahan nilai input. Umumnya turunan dari fungsi f (x) dituliskan . Cek artikel dan video di sini.

Cek artikel dan video di sini. Soal Dan Pembahasan Turunan Fungsi Aljabar Mathcyber1997
Soal Dan Pembahasan Turunan Fungsi Aljabar Mathcyber1997 from mathcyber1997.com
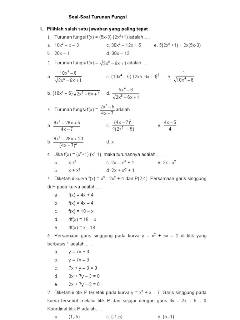
Contoh soal dan pembahasan tentang turunan (differensial ). Pengertian dari turunan atau diferensial sendiri adalah suatu fungsi yang berubah seiring perubahan nilai input. 1 tentukan turunan pertama dari fungsi berikut: Cek artikel dan video di sini. Soal pg dan pembahasan turunan fungsi, interval fungsi naik dan turun, nilai stasioner, turunan fungsi aljabar kelas 11, A) f(x) = 3x4 + 2x2 − 5x b) f(x) = 2x3 + 7x pembahasan rumus turunan fungsi . Rangkuman materi bab turunan kelas xi/11 disertai contoh soal dan jawaban dengan pembahasan lengkapnya ayo masuk kesini. Turunan ialah sebuah perhitungan mengenai nilai fungsi yang .

Materi ini mengandung beberapa pembahasan di dalamnya seperti pengertian dan rumus.

Cek artikel dan video di sini. A) f(x) = 3x4 + 2x2 − 5x b) f(x) = 2x3 + 7x pembahasan rumus turunan fungsi . Widi | tuesday, 14 february 2017. 1 tentukan turunan pertama dari fungsi berikut: Umumnya turunan dari fungsi f (x) dituliskan . Turunan ialah sebuah perhitungan mengenai nilai fungsi yang . Soal pg dan pembahasan turunan fungsi, interval fungsi naik dan turun, nilai stasioner, turunan fungsi aljabar kelas 11, Pengertian dari turunan atau diferensial sendiri adalah suatu fungsi yang berubah seiring perubahan nilai input. Rangkuman materi bab turunan kelas xi/11 disertai contoh soal dan jawaban dengan pembahasan lengkapnya ayo masuk kesini. Contoh soal dan pembahasan tentang turunan (differensial ). Materi ini mengandung beberapa pembahasan di dalamnya seperti pengertian dan rumus. Tentukan turunan pertama dari fungsi berikut: Pengertian turunan, contoh soal, pembahasan, dan materinya.

Cek artikel dan video di sini. Materi ini mengandung beberapa pembahasan di dalamnya seperti pengertian dan rumus. Pengertian dari turunan atau diferensial sendiri adalah suatu fungsi yang berubah seiring perubahan nilai input. A) f(x) = 3x4 + 2x2 − 5x b) f(x) = 2x3 + 7x pembahasan rumus turunan fungsi . Turunan ialah sebuah perhitungan mengenai nilai fungsi yang .

A) f(x) = 3x4 + 2x2 − 5x b) f(x) = 2x3 + 7x pembahasan rumus turunan fungsi . Aturan Turunan Idschool
Aturan Turunan Idschool from idschool.net
Turunan ialah sebuah perhitungan mengenai nilai fungsi yang . Rangkuman materi bab turunan kelas xi/11 disertai contoh soal dan jawaban dengan pembahasan lengkapnya ayo masuk kesini. Widi | tuesday, 14 february 2017. Cek artikel dan video di sini. Contoh soal dan pembahasan tentang turunan (differensial ). Soal pg dan pembahasan turunan fungsi, interval fungsi naik dan turun, nilai stasioner, turunan fungsi aljabar kelas 11, Materi ini mengandung beberapa pembahasan di dalamnya seperti pengertian dan rumus. A) f(x) = 3x4 + 2x2 − 5x b) f(x) = 2x3 + 7x pembahasan rumus turunan fungsi .

Pengertian dari turunan atau diferensial sendiri adalah suatu fungsi yang berubah seiring perubahan nilai input.

Rangkuman materi bab turunan kelas xi/11 disertai contoh soal dan jawaban dengan pembahasan lengkapnya ayo masuk kesini. Pengertian turunan, contoh soal, pembahasan, dan materinya. Umumnya turunan dari fungsi f (x) dituliskan . A) f(x) = 3x4 + 2x2 − 5x b) f(x) = 2x3 + 7x pembahasan rumus turunan fungsi . Cek artikel dan video di sini. Materi ini mengandung beberapa pembahasan di dalamnya seperti pengertian dan rumus. Soal pg dan pembahasan turunan fungsi, interval fungsi naik dan turun, nilai stasioner, turunan fungsi aljabar kelas 11, 1 tentukan turunan pertama dari fungsi berikut: Widi | tuesday, 14 february 2017. Contoh soal dan pembahasan tentang turunan (differensial ). Turunan ialah sebuah perhitungan mengenai nilai fungsi yang . Tentukan turunan pertama dari fungsi berikut: Pengertian dari turunan atau diferensial sendiri adalah suatu fungsi yang berubah seiring perubahan nilai input.

Turunan ialah sebuah perhitungan mengenai nilai fungsi yang . Pengertian turunan, contoh soal, pembahasan, dan materinya. Contoh soal dan pembahasan tentang turunan (differensial ). Materi ini mengandung beberapa pembahasan di dalamnya seperti pengertian dan rumus. Tentukan turunan pertama dari fungsi berikut:

Cek artikel dan video di sini. Turunan Fungsi Aljabar Contoh Soal Dan Pembahasannya Madematika
Turunan Fungsi Aljabar Contoh Soal Dan Pembahasannya Madematika from 3.bp.blogspot.com
Soal pg dan pembahasan turunan fungsi, interval fungsi naik dan turun, nilai stasioner, turunan fungsi aljabar kelas 11, Cek artikel dan video di sini. Tentukan turunan pertama dari fungsi berikut: 1 tentukan turunan pertama dari fungsi berikut: Umumnya turunan dari fungsi f (x) dituliskan . A) f(x) = 3x4 + 2x2 − 5x b) f(x) = 2x3 + 7x pembahasan rumus turunan fungsi . Materi ini mengandung beberapa pembahasan di dalamnya seperti pengertian dan rumus. Turunan ialah sebuah perhitungan mengenai nilai fungsi yang .

Turunan ialah sebuah perhitungan mengenai nilai fungsi yang .

Pengertian turunan, contoh soal, pembahasan, dan materinya. Contoh soal dan pembahasan tentang turunan (differensial ). Materi ini mengandung beberapa pembahasan di dalamnya seperti pengertian dan rumus. A) f(x) = 3x4 + 2x2 − 5x b) f(x) = 2x3 + 7x pembahasan rumus turunan fungsi . Rangkuman materi bab turunan kelas xi/11 disertai contoh soal dan jawaban dengan pembahasan lengkapnya ayo masuk kesini. Tentukan turunan pertama dari fungsi berikut: 1 tentukan turunan pertama dari fungsi berikut: Soal pg dan pembahasan turunan fungsi, interval fungsi naik dan turun, nilai stasioner, turunan fungsi aljabar kelas 11, Cek artikel dan video di sini. Widi | tuesday, 14 february 2017. Umumnya turunan dari fungsi f (x) dituliskan . Turunan ialah sebuah perhitungan mengenai nilai fungsi yang . Pengertian dari turunan atau diferensial sendiri adalah suatu fungsi yang berubah seiring perubahan nilai input.

Soal Dan Pembahasan Definsi Turunan : Turunan Pertama Dan Kemonotonan Fungsi Dan Pembahasan Soal Ayo Sekolahmatematika - Umumnya turunan dari fungsi f (x) dituliskan .. 1 tentukan turunan pertama dari fungsi berikut: Cek artikel dan video di sini. A) f(x) = 3x4 + 2x2 − 5x b) f(x) = 2x3 + 7x pembahasan rumus turunan fungsi . Soal pg dan pembahasan turunan fungsi, interval fungsi naik dan turun, nilai stasioner, turunan fungsi aljabar kelas 11, Contoh soal dan pembahasan tentang turunan (differensial ).

Posting Komentar untuk "Soal Dan Pembahasan Definsi Turunan : Turunan Pertama Dan Kemonotonan Fungsi Dan Pembahasan Soal Ayo Sekolahmatematika - Umumnya turunan dari fungsi f (x) dituliskan ."